Science - Page 3
Boron is complicated.
First, nobody can agree where to put it in the UMF. Pragmatists put it in with akali and akali earth fluxes, as it lowers the melt points of the glaze. Those who look at chemical formulae put it in with aluminium oxide (Al2O3) as boron oxide is B2O3, so surely that must be right. And a few look at how boron actually behaves in the glaze, as a glass former, and put it in with silica. But this is more a reflection of the shortcomings of the UMF as anything else.
On its own, boron will form a glass, in structures such as boroxols and, with a flux, di- and triborates and others. But no potters have produced glazes with boron as the only glass former - pure boron glasses are not very durable, so no good for functional pots.
When combined with silica, we can get a very durable and strong homogenous boro-silicate glass. But we can also get phase separation, where the boron and silica glasses form separately. So what determines the outcome?
With just boron and silica there is total phase separation, but as we add fluxes first the di- and triborates form, and then the feldspar reedmergnerite (NaBSi3O8), which brings silica into the boron component. In most glazes there will be reedmergnerite plus either borates and boroxol or silica. With more Na the borates form pyroborate, and the flux will start breaking the oxygen bonds in the silica and reedmergnerite. Ultimately the glaze components will become fully saturated with the Na.
As we add silica, the feldspar reedmergnerite starts to form, If you remember my post on aluminium oxide, it needs to combine with a positive ion to be able to form a tetrahedron and join in with the glaze structure. The same applies to boron. But the fluxes prefer to bond with the aluminium, so boron only gets what is left over. Starting with phase separated glazes, as we add more fluxes there comes a point where the silica starts to dissolve into the boron, and then as the additions continue we get to a single, totally homogenous glaze.
The diagram above shows the glaze structures for sodium, silica and boron, and I've also given you the molecules.
Boron - Part 2
Boron - Part 2
First, to expand on one point above, I spoke as though the phase separation diagram was fixed in stone. It isn't. It depends on the firing profile, especially from when the glaze is melted to shortly after it solidifies. The slower the cooling, the more time there is for the two phases to separate out. And the lower the temperature at which you apply a hold, the greater the range over which phase separation will occur, though as the temperature drops the hold time needs to be longer. So bear this in mind, both when setting your firing schedule, and also when comparing phase diagrams from different sources that may have different firing profiles.
Last week we concentrated on sodium; today we'll look at the rest of the alkalis and alkali earths. The alkalis have similar phase separation diagrams; the molecules formed at different compositions formed differ slightly, but are broadly similar. The shaded areas in the phase diagram show the phase separation zones for the alkali metals, with holds at different temperatures.
For the alkali earths, most information on the chemistry is behind academic paywalls. But there are two points we can note. If we take the ratio of Si:Ca, then for values of 0.5 - 0.7 most of the RO bonds to boron, forming tetrahedra; for high values of 1.1 - 1.3 the RO also acts as a bridge, joining tetrahedra of silica or boron with unattached oxygen atoms. Maximum durability and strength was found between these two ranges. Secondly, they are much more effective at causing phase separation (particularly zinc and magnesium), as may be seen in the diagram.
Note that other glaze additions may also affect the phase separation: titanium, zircon, phosphorous, uranium, vanadium, molybdenum and manganese are known to have significant effects, and others probably do as well.
Boron - part 3
So far we've looked at glasses, and we need to add aluminium to make them glazes. So how does this affect things? In a number of ways:
- if you recall, aluminium needs a +ve charge to form a tetrahedron to be able to participate in the glaze. It preferentially gets this from an alkali metal on a 1:1 ratio; failing that it will use an alkali earth, each one able to be shared between two aluminium atoms. But boron also needs a +ve charge. The pull of aluminium exceeds that of boron, so it will grab all the +ve charges it needs, and boron will have to make do with the remnants. So too much aluminium in relation to the fluxes mean that we will get phase separation, as the boron cannot form tetrahedrons to enter the glaze network
- as we've seen, it takes time for the atoms to distribute themselves into separate phases. Aluminium increases the viscosity of the glaze, which means that the atoms will have less mobility. As we add aluminium the glaze becomes more viscous, and so it takes more time for the phase separation to develop.
These may seem to be working in opposing directions, but not necessarily so. The first point is dependent upon the proportion of fluxes in the glaze, whilst the second is dependent on the firing schedule.
Summing up, homogenous boron glazes can be very tough and durable, but if we get phase separation then the boron component will readily leach out. As well as being dependent on the ratio of B:Si, this also depends on the amount of aluminium present, the proportion of fluxes, and whether the fluxes are alkalis or alkali earths. As a first approximation, we can remove the aluminium and matching amount of +ve charges from the glaze, and then refer to the borosilicate glass data for phase separation. But, at least for now, we need to resort to testing for final verification.
The image is tourmaline, a boro-silicate containing aluminium and fluxes (and others).
Boron - Part 4
Finally we wrap up on boron - phew!
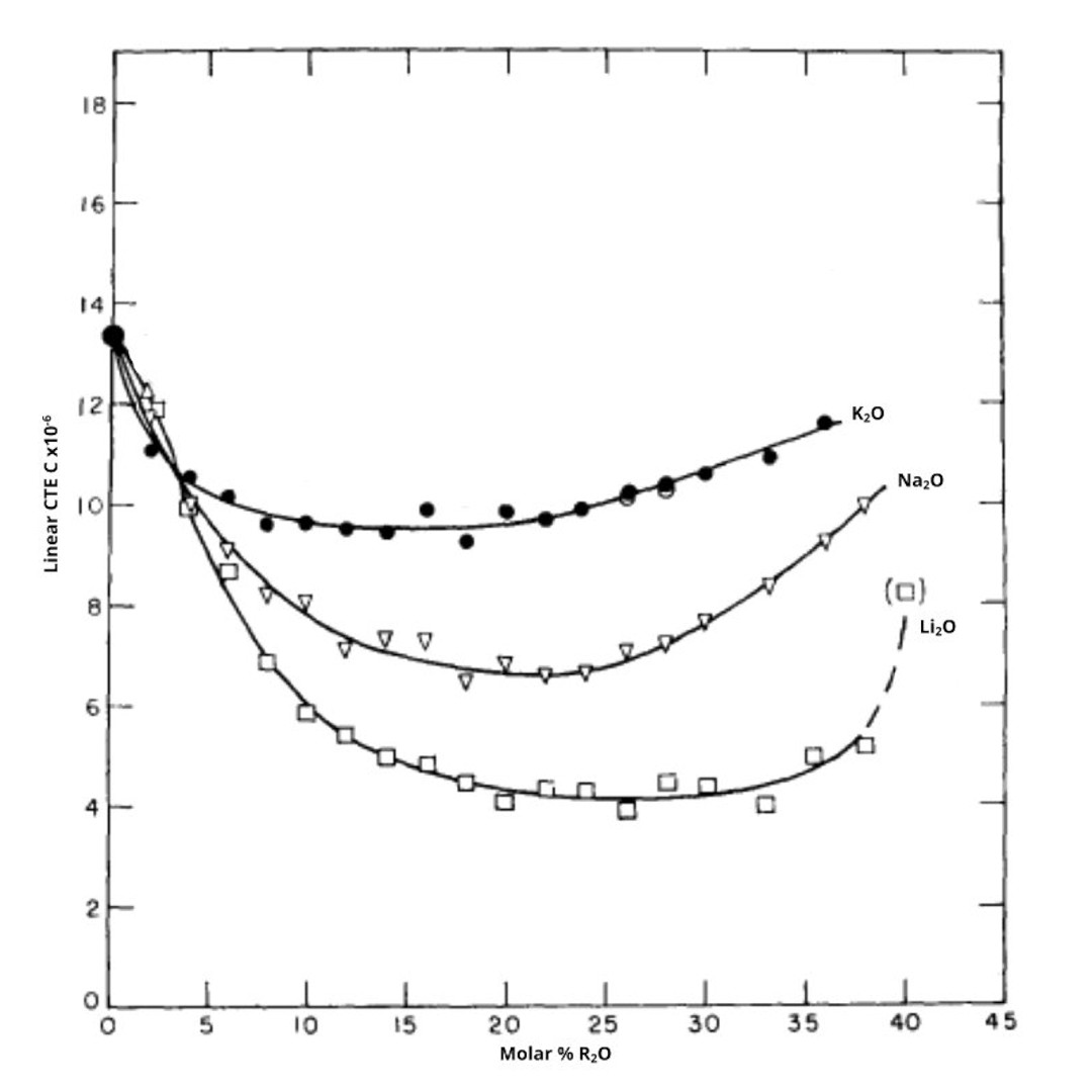
First, you may come across the phrase "boron anomaly", or spot that the coefficient of thermal expansion (CTE) of boron often shows a huge range instead of a single number. By now you'll realise that both of these are because of the large variety of structures that boron can take up.
If we take a boron free glaze, the CTE increases as we add more fluxes, as they break up the glaze matrix. But in a glaze with boron the CTE decreases until the fluxes reach 15-30%, and then increases. Fluxes enable the boron to form a tetrahedral structure, resulting in a more compact and more stable glaze compared to its triangular structures when there is insufficient flux, but then too much flux breaks up the glaze matrix. At around the same point, the glaze will have maximum viscosity, hardness, density and refractive index, all decreases as we move away from this sweet spot.
Now lets look at how different boron glazes can be classified, based on the Glazy database, which holds 7136 boron glazes.
First, let's look at the fluxes with respect to aluminium, as this preferentially bonds to the fluxes. Some 75% of the glazes don't have enough alkali metal to get the aluminium to form tetrahedra and properly join the glaze matrix, so these will fall back to use alkali earths, which aren't as stable. Only 0.2% don't have enough flux to get the aluminium to form tetrahedra. So, whilst there may be advantages in increasing the R20:RO ratio for the 75% of glazes with insufficient alkalis alone, things look pretty good.
Now let's look at the boron as well, and 90% of glazes have insufficient alkalis for both the aluminium and the boron to form tetrahedra, and there's more dependence on the alkali earths. Adding the alkali earths into the consideration, and only 1% don't have enough flux for both the alkali and the alkali earth to form tetrahedra. This sounds good, but remember that the alkali earths have a much greater propensity to cause phase separation.
So, in summary, it looks as though boron glazes will be more durable and less prone to phase separation with a higher ratio of R2O:RO than is currently used.
Phosphorous
Why the cow? Well the traditional source for phosphorous in ceramics has always been bone ash - bones calcined to 1000C and then ground to a powder. I had thought that cattle bones were always the preferred source, but on reading about the pottery at Nantgarw I learned that they used horse bones (though some disagree with this source) - perhaps it was just because there was a ready supply from all the Welsh pit ponies? And in the US Charles Krafft is using human bones.
Bone ash has the approximate formula 4Ca3 (P04)2.CaO plus small percentages (in decreasing quantities) of calcium carbonate, magnesium phosphate, CaO and CF2
Nowadays bone ash is often replaced by tricalcium phosphate - Ca3(PO4)2 - or dicalcium phosphate - CaHPO4 or CaHPO4.2H2O, but the different chemistries and structures mean that neither is a direct replacement.
Phosphorous looks interesting, as it is reactive and can have multiple valencies - primarily -3, 3 and 5, though everything else inbetween has been found. Yet little is known about it in relation to ceramics. It can react with other materials to form AlP, BP, Ca3P2, Co2P, CuP2, FeP etc, but I don't know how many of these form in ceramics.
It appears in ceramics as P2O5. It is a glass former in its own right, forming a similar tetrahedron to silica, but one of the oxygens has a double bond with the phosphorous. This means that, although it is a tetrahedron, only 3 of the oxygens are free to bond with other structures, making this similar to the triangular boron structures. Left on their own, the phosphorous tetrahedra form rings, but if alkali or alkali earths are added these break down to form entangled strings of phosphor tetrahedra.
It is used in two main ways: it is the main component of bone china, and it is used in glazes.
Bone china has the recipe of 1 part of kaolin, 1 of Cornwall stone and 2 of bone ash. Lacking plasticity, it is slip cast, then fired to 1265C in setters to support the work as it slumps. About 70% of the fired body is a mix of crystals such as anorthite (a calcium feldspar) and Beta tri-calcium phosphate Ca3 (PO4)2, the rest being a glassy material.
In a glaze or glass, phosphor changes the colour response: with calcium we can get opal effects; with iron it can create iron reds or make the iron transparent; and it can also be phosphorescent. Phase separation can occur, but I have not managed to find much data on this.
So plenty of opportunity for experimenting
Lead
Lead is another of those substances that can do various interesting things in glazes (I won't be addressing health issues here, though). Plus its low melting point and high brilliance (having a higher refractive index than any other glaze material) makes it highly attractive to potters.
The phase diagram is the Si-Al-Pb phase diagram, with temperatures in Kelvin, so subtract 273 to convert to Celsius
Even 5% (molar) of PbO reduces both the melting point and the melt viscosity in a silica-lead glass, and at 40% there is a sudden increase in the rate of change. At lower quantities the lead is acting as a network modifier, but then at higher proportions it becomes a glass former, forming lead tetrahedra, explaining why such high proportions of lead can be added to a glass or glaze. There is some disagreement about the form the lead takes, but it is likely that in low proportions it forms planar triangles, then the standard tetrahedra of the glaze network, and at the highest levels it forms square based pyramids. Also, whereas silica tetrahedra join at the corners, the lead structures frequently join at the edges, and they form much longer chains, breaking the silica into shorter fragments, and so reducing the melting point. But, whatever the details, once the PbO exceeds 40% the rate of leaching exceeds exponentially. Also, at low levels the leaching method is ion exchange, with the alkali metals being leached out in preference to the lead, but then above 40% it changes to dissolution of the whole glaze surface.
You may be wondering where aluminium comes into things. Unfortunately there is little information on this. However by looking at the phase diagram we can see that over much of the diagram the proportion of aluminium is the main driver for the melting point, and to get a low melting point glaze the Al2O3 needs to be kept below 20% molar. On the other hand, a higher melting point will indicate a more stable glaze.
During the firing, lead fumes will start to be given off from around 1000C, so it makes sense to fire lead glazes below this point. But another thing that happens is that the clay body dissolves into the glaze, increasing the silica and alumina levels, and so making the glaze more stable. This takes time, but it means that a slower fired piece will leach less than a fast fired piece, everything else being the same.
The Glaze Process
Stepping back from the specifics of individual chemicals, I'm going to take an overview of the path from bags of glaze materials to producing the final glazed pot.
There are those who claim that all you need to do is get the glaze chemistry right, and they worship at the feet of Stull and the UMF. Yet I'd argue that in reality things are a bit more complex.
When the glaze has melted, it is generally a homogenous liquid - though it may have some components designed not to dissolve into the glaze, such as inclusion stains. This molten state can be seen as the point where the two aspects of glaze making meet - heating the raw materials to turn them into this molten state, and then, cooling so that the glaze can solidify.
To go from solid to liquid, we need to melt low melting point components to melt, and then the other components (many of which have melting points well above our kiln temperature) need to dissolve into that melt. In addition, many of our raw materials are chosen on factors such as insolubility in water, ready availability and price, but we also need to realise that many of these will decompose when heated, giving off water, oxygen or carbon dioxide as gases. Generally we want these gases to escape from the glaze, so they don't create defects such as bubbles or pinholes. For reasons such as these, we need to look at the raw materials we use, as well as their composition at top temperature. For example, we often rely on the early melting of potassium and sodium from feldspars to form the molten pool that other materials dissolve in to. Also, we try and avoid problems such as the low solubility of aluminium oxide, so we use clay to introduce aluminium into the glaze. These choices are not given to us by the UMF or Stull.
Once we have our liquid, often a key factor is how we cool it, and the effects of this can often be seen by studying phase diagrams. This will indicate which materials are likely to precipitate out of the melt as solids first, and then we can determine what is left, and what is likely to precipitate next. But phase diagrams assume steady state conditions, and our kilns cool too quickly for that.
As I said, it's complicated!
